
ITEWA团队提出新一代全天候高能效的太阳能驱动空气取水框架

胡洁教授团队提出具身智能和多模态大模型赋能,开辟智能制造新路径

胡洁教授、戚进副研究员团队利用模块化检测框架,为开放场景车身焊点质量检测提供创新性解决方法

钱小石教授团队研发光驱动水下软体机器人,开辟智能材料应用新路径

齐飞教授、苑文浩副教授团队揭示了丙烷催化部分氧化气—固耦合微观反应机制

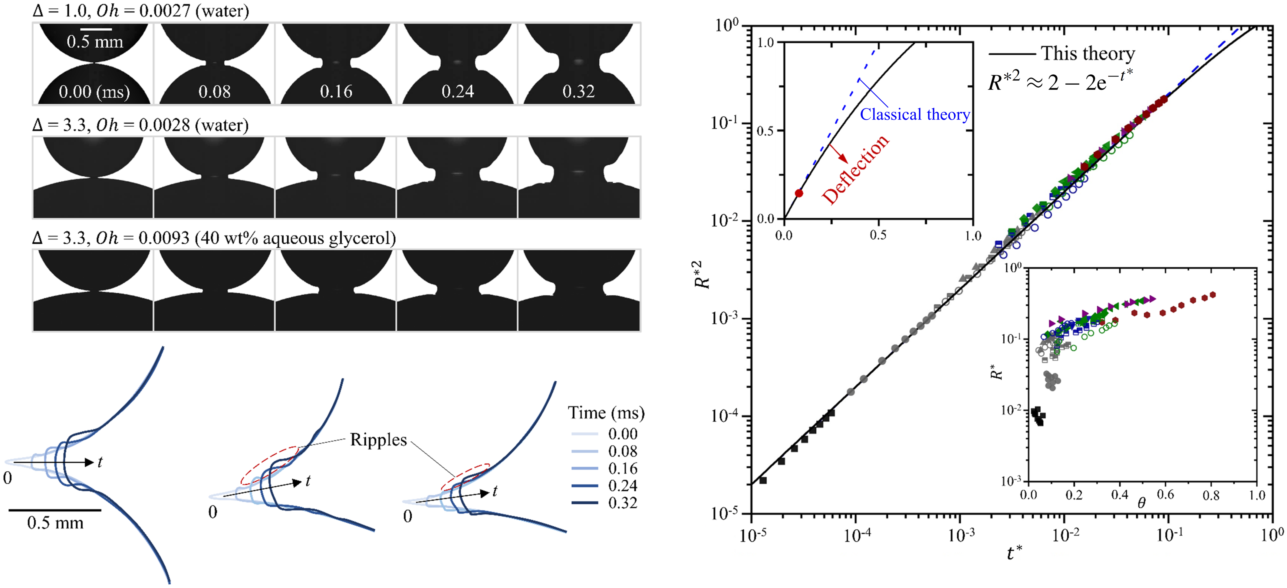
夏溪副教授提出无粘液滴融合新理论

章俊良教授团队综述质子交换膜燃料电池和电解水氧气传质机理及高效电极结构设计

张文明教授团队发文综述视触觉传感器研究进展

郭为忠教授团队提出基于运动副几何约束失效的机构误差发生新机制和建模新方法

胡洁教授、戚进副研究员团队利用多模态大模型为人机协作提出创新性解决方法

潘尔顺教授团队提出面向储能电站不完整数据场景的电池健康状态预测方法
夏溪副教授提出雷诺-涡量输运分析理论