日期:2018-10-30
2018年10月24日,上海交大红十字会推出“不忘初心,牢记使命”——大家一起做“红人”主题献血活动,公司学子当天纷纷挽起衣袖,用真情奉献爱心。
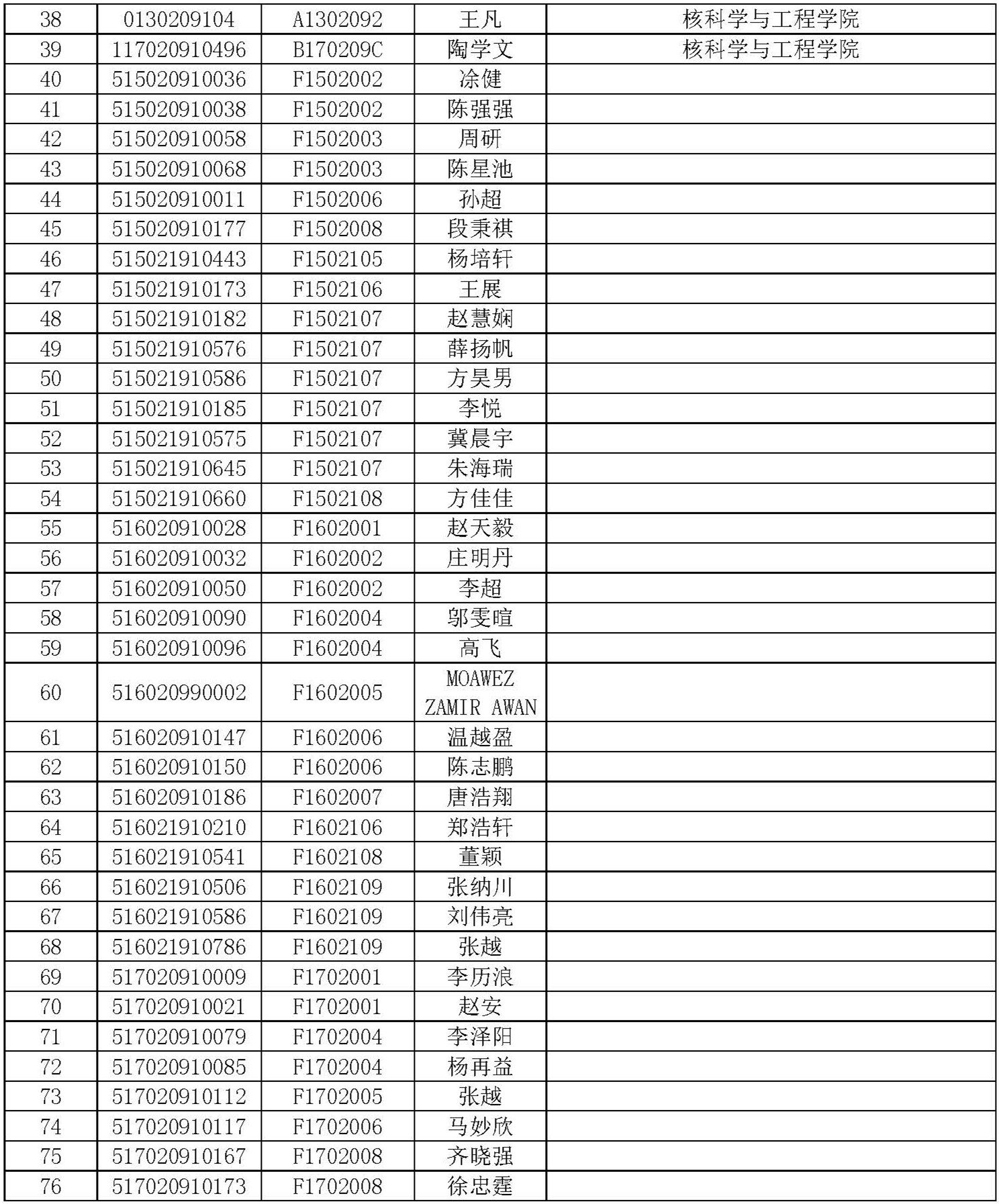
献血名单如下:
公司员工党建联合会
2018年10月30日
上一篇:“创青春,献爱心”公司11月14日献血名单
下一篇:“我健康,我献血,我自豪,做一名有社会责任感的可爱交大人”公司5月9日献血名单
Email:sjtume@sjtu.edu.cn 地址:上海市东川路800号伟德国际1946闵行校区伟德国际1946 邮编:200240
Copyright © 2019 伟德国际1946 版权所有